2009 Colloquia
Spring 2009
-
Doctoral Dissertation Research Proposal and Oral Comprehensive Examination
Reflective Mathematics Activities: A Pathway to the Beliefs of Pre-service Elementary School TeachersbyMatt Roscoe
Many researchers have identified the important role that beliefs about mathematics play in instructional decision making (e.g., Ernest, 1988; Schoenfeld, 1985). Given the central role that beliefs play in the classroom it follows that an element of preservice teacher education should concern itself with the development of beliefs that facilitate the learning of mathematics. In this talk, I propose a study of pre-service elementary teachers’ beliefs about mathematics by means of reflective mathematical activities. A reflective mathematical activity is an educational task in which a student is given the opportunity to construct a new mathematical concept while reflecting upon what it means to know and learn mathematics. I will give examples of reflective mathematical activities and propose a means of measuring pre-service teachers’ beliefs both quantitatively and qualitatively.
Committee: Bharath Sriraman (chair), Jim Hirstein, Jon Graham, Albert Borgmann (Philosophy), Ke Norman
Wednesday May 13th, 2009 1.00-2.00 pm in Math 103 [Open toeveryone]
2.10-3.00 [Oral part of Comprehensive Examination] -
Doctoral Dissertation Research Proposal and Oral Comprehensive Examination
Investigating undergraduate Students development of Proof: A Longitudinal StudybyNick Haverhals
This presentation outlines the proposed dissertation research. A universal goal of undergraduate mathematics education is to develop and further student’s proficiency at proof. The goal of this proposed research is to gain a better understanding of the processes/transitions and obstacles that students go through while learning proof methods and concepts. In contrast to extant research on proof that tends to be interventionist and provides static views of students abilities at proof at specific points in time, my proposed research will be longitudinal in approach and attempt to construct a time series (of sorts) of how proof writing ability develops as post-Math 305 students transition into other upper-level mathematics courses. Over the course of an academic year, different qualitative methods will be used in order to observe, document and study the changes in the students’ approaches/abilities to proof.
Committee: Bharath Sriraman (chair), Jim Hirstein, Thomas Tonev, David Erickson (School of Education), Libby Knott (Washington State University)
Monday May 11th, 2009 1.00-2.00 pm in Math 103 [Open to everyone]
2.10-3.00 [Oral part of Comprehensive Examination] -
Doctoral Dissertation Defense
“Randomness in Tree Ensemble Methods”byJoran Elias
Tree ensembles have proven to be a popular and powerful tool for predictive modeling tasks. The theory behind several of these methods (e.g. boosting) has received considerable attention. However, other tree ensemble techniques (e.g. bagging, random forests) have attracted limited theoretical treatment. Specifically, it has remained somewhat unclear as to why the simple act of randomizing the tree growing algorithm should lead to such dramatic improvements in performance. It has been suggested that a specific type of tree ensemble acts by forming a locally adaptive distance metric. We generalize this claim to include all tree ensemble methods and argue that this insight can help to explain the exceptional performance of tree ensemble methods.
Committee: B. Steele (Chair), J. Graham, S. Harrar, J. Johnson (Computer Science), and D. Patterson
Thursday, May 7, 2009
12:10 – 2:00 pm in Math 211 -
Boolean RingsJohn HartThe University of Montana
We extend a result of Stone where he injects a unital Boolean ring into a power set Boolean ring. We do it for non-unital rings.
Monday, 4 May 2009
3:10 p.m. in Math 103
4:00 p.m. Refreshments in Math Lounge 109 -
Department Picnic & Softball Game
-
Doctoral Dissertation Defense
“Norm-preserving criteria for uniform algebra isomorphisms”byRebekah Yates
We establish sufficient conditions for a surjective map T between uniform algebras A and B to be an algebra isomorphism. Our main result is that if T : A→B preserves the norm of the sums of the moduli of algebra elements, then T induces a homeomorphism ψ between the Choquet boundaries of B and A such that ∣Tf∣ = ∣f °ψ∣ on the Choquet boundary of B. This is the case when T preserves the norm of linear combinations of algebra elements. If, moreover, T either preserves both 1 and i or the peripheral spectra of ℂ-peaking functions, then T is a composition operator and thus an algebra isomorphism. The same result holds if we replace the preservation of the norm of linear combinations with the preservation of the norm of sums and the norm of the sums of the moduli of algebra elements. As a corollary, we obtain that if a linear, surjective isometry between two uniform algebras is unital, then it is automatically multiplicative, which generalizes previous results concerning uniform algebra isomorphisms. Along the way, we strengthen a classical lemma due to E. Bishop.
Committee: T. Tonev (Chair), J. Halfpap, N. Hinman (Geosciences), K. Stroethoff, and N. Vonessen
Thursday, April 30, 2009
1:10 – 3:00 pm in Skaggs 117 -
Preservers on Quantum StructuresProfessor Lajos MolnarUniversity of Debrecen, Hungary
Preserver problems concern the question of determining or describing the general form of all transformations of a given structure X which preserve "something relevant" for X that can be a
- a quantity attached to the elements of X, or
- a distinguished set of elements of X, or
- a given relation among the elements of X, or
- a given operation on X, etc.
Such problems arise in most parts of mathematics. They are systematically studied in matrix algebras and recently in infinite dimensional algebras (operator algebras, function algebras), too.
In this talk we first give a general overview of the topic and then present several results concerning preservers on quantum structures (spaces of density operators, observables, and Hilbert space effects).
Tuesday, 28 April 2009
12:10 p.m. in Math 103
1:00 p.m. Refreshments in Math Lounge 109 -
Math Awards Ceremony
Dell Brown Room -
Randomness in Tree Ensemble MethodsJoran EliasThe University of Montana
In this talk we will discuss classification and regression trees as statistical learners, particularly their use as part of an ensemble. We will discuss the increasing role that randomness has played in developing new tree ensemble techniques. Specifically, it has remained somewhat unclear as to why the simple act of randomizing the tree growing algorithm should lead to the dramatic improvements in performance that have been observed. We will introduce the recent suggestion that a specific type of tree ensemble acts by forming a locally adaptive distance metric as a possible explanation and briefly outline a generalization of this claim to include all tree ensemble methods.
Monday, 20 April 2009
3:10 p.m. in Math 103
4:00 p.m. Refreshments in Math Lounge 109 -
The Isis problem as a probe for understanding students' adaptive expertise and ideas about proofBrian GreerPortland State University
The Isis problem, which has a link with the Isis cult of ancient Egypt, asks: "Find which rectangles with sides of integral length (in some unit) have area and perimeter (numerically) equal, and prove the result." (You are invited to tackle this (simple) problem using as many different forms of argument as you can find). Since the solution requires minimal technical mathematics, the problem is accessible to a wide range of students. Further, it is notable for the variety of proofs (empirically grounded, algebraic, geometrical) using different forms of argument, and their associated representations, and it thus provides an instrument for probing students’ ideas about proof, and the interplay between routine and adaptive expertise. Results from small-scale studies of students in Belgium and the U.S. will be reported.
Monday, 13 April 2009
3:10 p.m. in Math 103
4:00 p.m. Refreshments in Math Lounge 109 -
Uniform Algebra IsomorphismsRebekah YatesUniversity of Montana
Maps which preserve specific properties or structures of spaces play an important role in mathematics. Examples of such maps include homomorphisms and isomorphisms in algebra, linear functionals in functional analysis, and morphisms in category theory. In this talk, we will explore the history of such preserver problems in the area of uniform algebras, with a special focus on the developments which have occurred here at the University of Montana.
Friday, 10 April 2009
3:10 p.m. in Math 103
4:00 p.m. Refreshments in Math Lounge 109 -
Whose mathematical models are better, the global economists, or the global climate scientists?Regents Professor Steven W. RunningDirector, Numerical Terradynamic Simulation Group
It is now abundantly clear that economists were quite unsuccessful in modeling global economics and predicting critical thresholds. I submit that global climate models are much more robust, and that we have a much better understanding of future climate than we do future economics. I recommend that our leaders start listening to the climate scientists.
Monday, 6 April 2009
3:10 p.m. in Urey LH
4:00 p.m. Refreshments in Math Lounge 109 -
Accurate Statistical Method for Diagnostic Testing Suited for Clustered DataFrank KonietschkeDepartment of Medical StatisticsUniversity of Gottingen, Germany&Department of Mathematical SciencesThe University of Montana
Consider a comparison of two diagnostic tests for a breast cancer -- Computer Aided Diagnostic (CAD) versus without CAD. Data are typically collected from both breasts of a sample of women. To reduce the effect of operator to operator variability, the tests are conducted by three medical experts for each individual. Classical methods for comparing diagnostic tests would assume the data from the two breasts and by the three experts on the same subject to be independent. That is, the within subject correlation is not accounted for and this undoubtedly results in a low efficiency. Other more recent methods that are designed for clustered data make some restrictive assumptions which may not be plausible for some data. In the last couple of years, methods that do not make such assumption have been devised but they have some technical limitations as a result of which their accuracy suffers.
In this talk, we will discuss the most popular criteria for assessing accuracy of a diagnostic test and briefly review some of the existing methods for comparing such tests. A new method which is more robust in terms of its accuracy than existing methods will be presented. The breast cancer example mentioned above will serve to explain the main ideas in the talk. The talk is based on years of experience of the speaker as a medical statistics consultant in the department of Medical Statistics at the University of Gottingen and his recent research as part of his PhD Thesis.
Frank Konietschke is a senior PhD student in Applied Statistics and Empirical Methods at the University of Gottingen and is currently on a research visit in the department of Mathematical Sciences at The University of Montana.
Monday, 23 March 2009
3:10 p.m. in Math 103
4:00 p.m. Refreshments in Math Lounge 109 -
The number ∏
Karel StroethoffThe University of Montana
I will discuss some computational methods used to estimate the number π. In addition to historical excursions I will show an elementary method to derive formulas for π that have been obtained more recently.
Monday, 16 March 2009
3:10 p.m. in Math 103
4:00 p.m. Refreshments in Math Lounge 109 -
Adaptive MCMC and model selectionMarko LaineFinnish Meteorological InstituteUniversity of Helsinki, Finland
Several adaptive Markov chain Monte Carlo (MCMC) methods for doing Bayesian statistical inference have been developed recently. These adaptive methods aim to increase the efficiency of the Metropolis-Hastings sampling algorithm and to allow automatic tuning of the algorithm's proposal distribution. This is useful especially in estimation problems in high dimensional and computationally intensive models. Adaptive methods are also good building blocks for implementation of general MCMC software as they need very little user intervention compared to the non-adaptive versions. Theoretical considerations are needed to ensure that the adaptive methods preserve the correct stationary distribution. Application examples are presented in the fields of environmental modeling and geophysical remote sensing. An extension to Adaptive Metropolis called adaptive automatic reversible jump MCMC (AARJ) allows for Bayesian model selection and averaging, and to incorporate model uncertainty in the statistical analysis of nonlinear models.
Monday, 9 March 2009
3:10 p.m. in Math 103
4:00 p.m. Refreshments in Math Lounge 109 -
Formal Software VerificationFrank StompSalish Kootenai College
In this talk I will give a brief overview of the area of Formal Software Verification. Basically, in this area one mathematically verifies that a program satisfies its specification (requirements). Thus, formal verification ensures that code is correct. Since verification is carried out on a model of the original code, this may reduce errors in an actual software product. Except for verification, I will also mention structuring principles, and some of my current research projects.
Monday, 2 March 2009
3:10 p.m. in Math 103
4:00 p.m. Refreshments in Math Lounge 109
Fall 2009
-
MCMC for (too?) large climate modelsHeikki HaarioUniversity of Lappeenranta, Finland
New tools for computational statistics have emerged that enable proper reliability analysis of nonlinear models, e.g., the MCMC (Markov chain Monte Carlo) approach is widely used. Typically, the sampling-based methods require a large number of model evaluations. The standard use of the approach is thus limited to models of low computational cost.
Here, we discuss the seemingly intractable task of applying MCMC methods for large models with really high computational cost. Climate models provide an important case. The equations are expressed using a computational grid. However, the grid is insufficient for accurate computation of many important physical processes, such as formation of clouds and their interaction with solar radiation. These processes operate in scales much smaller than the grid interval. Parametrizations of these sub-grid scale processes leads to a closure problem where some free parameters necessarily appear. The climate simulation results thus depend on the specified values of the closure parameters, sometimes called the 'tuning parameters' of the models. We discuss the possibility of employing MCMC to analyze the sensitivity of the climate predictions with respect to these parameters. The challenges include high CPU times, short sampling chains, grid size effects, proper formulation of the likelihood. Solutions may be provided by parallel chains, use of databanks, various approximation methods, surrogate models, and early rejection diagnostics in MCMC sampling.
Monday, 7 December 2009
3:10 p.m. in Math 103
4:00 p.m. Refreshments in Math Lounge 109 -
The geometry and topology of 3-manifoldsJason DeBloisUniversity of Illinois at Chicago
I will describe the "geometric" perspective on the study of three-dimensional manifolds, using lots of examples. This was introduced by W.P. Thurston over thirty years ago. I will record some of the main conjectures in the field and describe progress towards their resolution. The talk is intended for a general mathematical audience.
Monday, 16 November 2009
3:10 p.m. in Math 103
4:00 p.m. Refreshments in Math Lounge 109 -
STEM Integration: Crossing Disciplinary Borders to Promote Learning and EngagementDr. Tamara MooreUniversity of Minnesota Twin Cities
The STEM (Science, Technology, Engineering, and Mathematics) fields provide realistic, engaging contexts in which to teach "big ideas" in disciplinary content areas. By integrating these contexts into disciplinary classrooms, students can make connections and achieve deep understanding. This presentation focuses on the integration of STEM concepts in the K-16 mathematics, science, and engineering classrooms. The following principles guide this research on STEM integration:
Rich and engaging learning experiences that foster deep content understanding in STEM disciplines and their intersections are needed for students. Therefore,
- there is a need for curricula that integrate STEM contexts for teaching disciplinary content in meaningful ways that go beyond simply blending traditional types of understandings; and
- new models of teaching must be developed if STEM Integration is to lead to meaningful STEM learning, given that most teachers have not learned disciplinary content using STEM contexts, nor have they taught in this manner.
These principles will be illustrated through research on STEM integration involving student learning, curriculum development, and teacher professional development.
Thursday, 12 November 2009
4:10 p.m. in Math 103
3:30 p.m. Refreshments in Math Lounge 109 -
Two Vertex Descriptors Based on Hosoya’s Matching Descriptor Z(G)Matt HudelsonWashington State University
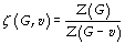
In 1971, Harao Hosoya launched the study of graph-theoretical descriptors in chemical applications by demonstrating a high correlation between the number of matchings of an alkane to its boiling point. We continue his legacy by describing two distinct vertex descriptors. The first of these descriptors is defined by
where Z(G) enumerates the number of matchings, i.e. partitions of the vertex set into singletons and adjacent pairs, of the graph G. We will show that if G is a tree, then ζ(G,v) can be approached via "tree expressions," a generalization of continued fractions. The second descriptor
associates to each vertex in G a polynomial in α whose coefficients pi(v) enumerate the number of distinct paths of length i that begin at the vertex v. Together, adaptations of these descriptors form a "local vertex space" such that two vertices with similar local characteristics are mapped to points that are close in this space. As an application of such a space, we can quickly search large databases of chemical compounds for atoms with specific local connectivity environments. Monday, 9 November 2009
3:10 p.m. in Math 103
4:00 p.m. Refreshments in Math Lounge 109 -
Mathematica 7 in EducationGinger McKeeWolfram Research
This talk illustrates capabilities in Mathematica 7 that are directly applicable for use in teaching and research on campus. Topics of this technical talk include:
- 2D and 3D visualization
- Dynamic interactivity
- On-demand scientific data
- Example-driven course materials
- Symbolic interface construction
- Practical and theoretical applications
Current users will benefit from seeing the many improvements and new features of Mathematica 7, but prior knowledge of Mathematica is not required. Students can attend the talk, too!
Monday, 2 November 2009
3:10 p.m. in Math 103
4:00 p.m. Refreshments in Math Lounge 109Sponsored by Wolfram Research
-
Teaching Online Courses for High School Mathematics TeachersMaurice BurkeMontana State University
Teaching Online Courses for High School Mathematics Teachers PowerPoint
Burke will present data concerning online courses at MSU and elsewhere in the Montana University System. He will discuss the problems with interpreting the data as well as some special issues related to teaching mathematics in the online environment. He will share information about the online components of the Masters in Mathematics - Mathematics Education Option (MSMME) offered at MSU. This talk will be informal and time for questions and discussions will be allowed.
Monday, 26 October 2009
4:00 p.m. Refreshments in Math Lounge 109 -
Using linear solvers to sample large GaussiansAl ParkerNew Zealand Institute of Mathematics, University of Auckland Department of Physics, University of OtagoCenter for Biofilm Engineering, Montana State University
Generating samples from large multivariate normal (Gaussian) distributions is useful for simulating Gaussian Processes and Gauss-Markov Random Fields, which are commonly used in conjunction with Markov Chain Monte Carlo methods. Techniques from numerical linear algebra to solve linear systems are the same methods which are used to produce samples from Gaussian distributions. For example, the Cholesky factorization, the preferred method of solving linear systems for moderately sized problems, is the conventional way to produce samples from a Gaussian. For linear systems and Gaussian models with dimension 106 or more (eg models of global total column ozone, tropical ocean surface winds, or the structure of the Earth's mantel and outer core), iterative linear solvers and iterative samplers are the only feasible option due to their inexpensive cost per iteration, and small computer memory requirements. Motivated by ample examples, I will provide an explicit recipe which shows how to convert any stationary linear solver into an iterative sampler of a multivariate normal distribution, which has the same convergence properties as the corresponding linear solver.
The last fifty years has seen an explosion of theoretical results and algorithmic development making linear solvers faster and more efficient, so that for large problems, stationary processes are used as pre-conditioners at best, while the method of conjugate gradients and polynomial accelerators are the current state-of-the-art for solving linear systems in a finite number of steps. Perhaps less well known is that iterative samplers are merely stationary processes, which were used as very slow (ie geometrically converging) linear solvers in the 1950's.
I will show how iterative samplers can be sped up appreciably by using common acceleration techniques from numerical linear linear algebra such as successive over-relaxation (SOR) and polynomial preconditioning. Some samplers which will be presented are derived from Chebyshev accelerated symmetric-SOR, the method of conjugate gradients, and the Lanczos method for estimating the extreme eigenvalues of a matrix.
Monday, 19 October 2009
3:10 p.m. in Math 103
4:00 p.m. Refreshments in Math Lounge 109 -
Symmetry Breaking in Graphs and MatroidsJenny McNultyThe University of Montana
"What can we do to an object to break its symmetry?" That is, how can we restrict the object in some way so that the only automorphism is trivial? We examine two approaches. The first involves distinguishing the elements of the object while the second involves fixing some of the elements. Distinguishing and fixing numbers were originally defined for graphs. We are interested in the extension of these ideas to matroids. The talk will begin with a survey of graph results. Next, matroids will be introduced, and the concept of a matroid automorphism defined. (Familiarity with matroids will not be assumed; all matroids in the talk can be visualized as a graph or geometry.) Lastly, we give a sampling of fixing and distinguishing number results for matroids.
Monday, 12 October 2009
3:10 p.m. in Math 103
4:00 p.m. Refreshments in Math Lounge 109 -
My Experiences With and Thoughts About Distance LearningMike O'LearThe University of Montana
My Experiences With and Thoughts About Distance Learning PowerPoint
When I was a full time Instructor at Great Falls COT from 2000 to 2005, the COT "pioneered" some online and hybrid courses offered in the curriculum, including "core" courses in mathematics. After a year or so, at least half of my course load was internet driven (including summer offerings), and when I had a pulmonary embolism I taught all Great Falls COT courses (4) from my home in Missoula the following semester. This colloquium is a summary of my experiences, my successes (few), my failures (many), and what I learned from my experiences teaching distance mathematics core courses.
Monday, 5 October 2009
3:10 p.m. in Math 103
4:00 p.m. Refreshments in Math Lounge 109 -
BlackBoard training and a brief review of available on-line learning support.Mary EngstromCurriculum & InstructionThe University of Montana
Monday, 28 September 2009
3:10 p.m. in Math 103 -
Continuous Meets Discrete: Some Integral Counting FormulasMark KayllThe University of Montana
Most people think of integration as belonging to the realm of continuous mathematics, far removed from its 'polar opposite', discrete mathematics. I'll present a few examples illustrating the ubiquity of integration, even in the discrete world. My goal will be to convince listeners to embrace calculus, even if they lean more to the mathematically discrete. We never know when an integral might rise seemingly out of nowhere and play an interesting role in a discrete problem.
Monday, 21 September 2009
3:10 p.m. in Math 103
4:00 p.m. Refreshments in Math Lounge 109 -
Introduction of Classroom Response Systems (CPS Clickers) and Performance Response Systems (PRS Clickers)John PyktelTechnology Education ConsultantEinstruction Corporation
The speaker will discuss and demonstrate how CPS Clickers and PRS Clickers technologies work to enhance students' engagement, encourage class discussions, and provide continuous feedback to assess students' progress, resulting in improved grades and attendance.
Monday, 14 September 2009
3:10 p.m. in Math 103
4:00 p.m. Refreshments in Math Lounge 109