2010 Colloquia
Spring 2010
-
"The Coloring Graph and variations"Ruth HaasSmith College
Proper colorings of a graph have been studied from many angles. While it is sometimes important to find just one coloring of a graph that uses a minimum number of colors, it can also be of interest to consider all the ways to properly color a graph using a certain number of colors. One way to do this is with a Coloring Graph. Given a graph G, the Coloring Graph C(G) has vertex set the set of all colorings of the graph G. The edge set can be defined in various ways for instance, there is an edge between two colorings if they are identical on V(G—x) for some x ∈ V (G). Another possibility would be to consider colorings to be adjacent if a Kempe chain takes you from one to the other.
In this talk we give an overview of various kinds of coloring graphs and then focus on the Cannonical coloring graph where only nonisomorphic colorings of the graph G are used as vertices. The representative of each set of isomorphic colorings are chosen according to a canonical ordering.
Wednesday, 19 May 2010
10:10 a.m. in Math 103Sponsored by PACE
-
"Distinguishing Chromatic Numbers of Bipartite Graphs"Karen SeyffarthUniversity of Calgary
Graph colouring problems have a long history and many variations. The classic graph colouring problem is to assign colours to the vertices of a graph G so that adjacent vertices receive different colours, and so that the total number of colours used is minimum. This minimum is the chromatic number of G, denoted χ(G).
In a 2006 article, Karen Collins and Ann Trenk introduce a variation of the chromatic number, called the distinguishing chromatic number. A colouring of the vertices of a graph G is distinguishing provided no automorphism of G, other than the identity, preserves the colours of the vertices. The distinguishing chromatic number of G, XD(G), is the minimum number of colours required to colour the vertices of Gso that the resulting colouring is distinguishing. In their article, Collins and Trenk prove an analogue of Brooks' Theorem for XD: if G is a connected graph with maximum degree Δ, then XD(G) ≤ 2Δ, with equality if and only if G is KΔ,Δ or a cycle on six vertices.
In this talk, I will outline what is known about the distinguishing chromatic number. I will also describe some joint work with Claude Laflamme, in which we restrict our attention to bipartite graphs, obtaining a slight improvement to the result of Collins and Trenk, and disproving one of their conjectures.
Wednesday, 19 May 2010
2:10 p.m. in Math 103
3:00 p.m. Refreshments in Math Lounge 109 -
"The Center for Women in Mathematics at Smith College"Ruth HaasSmith College
Women still represent significantly less than half of math graduate students and faculty, despite the fact that they are majoring in math at higher rates. Women often don't choose math or get serious about mathematics until later in their education, when it is too late to adequately prepare for graduate school. The Center for Women in Mathematics provides a post-baccalaureate program for women who have graduated college but whose preparation is not adequate for graduate school. I will describe the program and the features that we feel are most helpful for encouraging success for women in mathematics graduate programs.
Tuesday, 18 May 2010
2:10 p.m. in Math 103
3:00 p.m. Refreshments in Math Lounge 109Sponsored by PACE
-
Doctoral Dissertation Defense
“Regularization Parameter Selection Methods for Ill-Posed Poisson Imaging Problems”ByJohn Goldes
A common problem in imaging science is to estimate some underlying true image given noisy measurements of image intensity. When image intensity is measured by the counting of incident photons emitted by the object of interest, the datanoise is accurately modeled by a Poisson distribution, which motivates the use of Poisson maximum likelihood estimation. When the underlying model equation is ill-posed, regularization must be employed. I will present a computational framework for solving such problems, including statistically motivated methods for choosing the regularization parameter. Numerical examples will be included.
Friday, May 7, 2010
3:10 pm in Math 305 -
Doctoral Dissertation Defense
“Mathematical and Computational Applications in Disease and Landscape Ecology”ByErin Landguth
My specific research focus is in the development of mathematical and computational models to synthesize environmental data for describing and predicting the characteristics of population and disease dynamics on the landscape. The results from this research are documented in the following chapters: 1) Mathematical Disease Ecology. This uses numerical and qualitative analysis to study a model for Tick Borne Relapsing Fever in an island eco-system. 2) Computational Landscape Ecology. The development and applications of a spatially explicit computer model to predict population connectivity and gene flow on complex landscapes is described.
Thursday, May 6, 2010
9:10 am in Math 108 -
Presentation of Master’s Project
Ice Sheet Modeling: Rescaling the Computational Domain for Full Stokes ModelsByStephen Schutten
Currently in the era of “Global Warming”, many scientists have their attention turned to the topic of rising sea level. At the forefront of this issue are scientists investigating ice sheet dynamics. With the help of many other scientists, those trying to model ice sheets seek to predict sea rise. Accomplishing this goal is difficult due to the fact that ice sheet modeling is mathematically and computationally complicated.
In this talk I will present some of the basic theory behind ice sheet dynamics and the work I have done with Dr. Jesse Johnson (Computer Science) concerning 3− D Full Stokes ice sheet models.
Tuesday, May 4, 2010
3:10 pm in Math 311 -
Presentation of Master’s Project
A Brief Survey of König-Egerváry GraphsByPete Kinnecom
König-Egerváry graphs are the class of graphs where the size of a minimum vertex cover equals the size of a maximum matching. In this paper we examine various characterizations, combinatorial properties, and algorithmic aspects of König-Egerváry graphs. For my talk, I will be presenting a characterization proved by C. Larson in 2009. We will show that a graph is König-Egerváry if and only if the size of a maximum critical independent set is equal to the size of a maximum independent set.
Tuesday, May 4, 2010
2:10 pm in Math 108 -
A Nonparametric Test of Independence and Its Application in Digital Image Quality AssessmentHaiyan WangKansas State University
Statistical tools to detect general relationships between variables are commonly needed in various practices including image similarity assessment. Correlation, regression, and copula based methods provide popular tools for such purpose with certain limitations. In this talk, I will present a new nonparametric test of independence between the response variable, which can be discrete or continuous, and a continuous covariate after adjusting for heteroscedastic treatment effects. The method involves first augmenting each pair of the data for all treatments with a fixed number of nearest neighbors before a test statistic is constructed as the difference of two quadratic forms. The asymptotic distribution of the proposed test statistic is obtained under the null and local alternatives. Example applications on copulas will be given. Numerical studies show that the new test procedure has robust power to detect nonlinear dependency in presence of outliers that might result from highly skewed distributions. The application of the new test in digital image quality assessment shows that this test provides a better summary on image structure information loss compared to popular image similarity measures.
The content of this talk involves joint work with Siti Tolos, Suojin Wang, Diego Maldonado, and Sharad Silwal.
Monday, 3 May 2010
3:10 p.m. in Math 103
4:00 p.m. Refreshments in Math Lounge 109 -
Moving faces to other places: Facet DerangementsGary GordonLafayette College
When you roll a die, what is the probability that every face has been moved to another location? Starting from this simple problem, we look at integer sequences associated with the number of facet derangements of an n-dimensional hypercube. We briefly survey some previous work, discuss a reformulation of the problem, and give recursive and non-recursive formulas for the sequences. This is joint work with Liz McMahon.
Monday, 26 April 2010
3:10 p.m. in Math 103
4:00 p.m. Refreshments in Math Lounge 109 -
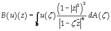
The range of Berezin transformRao V. NagisettyUniversity of Toledo
Let
denote the normalized Lebesgue area measure on the unit disk D and u, a summable function on D. The function 
is called the Berezin transform of u. In 2004 P. Ahern described all the possible triples {u, f, g} for which
, where both f, g are holomorphic in D. This result was crucial in solving a version of the zero product problem for Toeplitz operators on the Bergman space.The natural next question is to describe all functions in the range of Berezin transform which are of the form
where fi , gi are all holomorphic in D. We shall give a complete description of all such u and the corresponding fi , gi, 1 ≤ i ≤ N. Further we give very simple proof of the result of Ahern and the recent result of Čučković and Li, where they tackle the case where N=2 and g2=zn.Thursday, 22 April 2010
3:10 p.m. in Math 211
4:00 p.m. Refreshments in Math Lounge 109 -
Doctoral Dissertation Defense
“Modeling Conversions in Online Advertising”ByJohn Chandler-Pepelnjak
This work investigates people who purchase online and how to predict such sales. Advertising as a field has long been required to pay for itself–money spent reaching potential consumers will evaporate if that potential is not realized. Academic marketers look at advertising through a traditional lens, measuring input (advertising) and output (purchases) with methods from TV and print advertising. Online advertising practitioners have developed their own models for predicting purchases. Moreover, online advertising generates an enormous amount of data, long the province of statisticians. My work sits at the intersection of these three areas: marketing, statistics and business. Academic statisticians have approached conversion modeling through a proportional hazard framework. Here we seek to provide new statistical learning tools to practitioners. We investigate a data visualization technique that allows cookie histories to be compared easily. We also provide a framework to use existing clustering algorithms to better understand the paths to conversion taken by consumers. Finally we marry the leading edge of online advertising conversion attribution (Engagement Mapping) to the proportional hazard model, showing how this tool can be used to find optimal setting for advertiser models of conversion attribution.
Tuesday, April 20, 2010
3:10 pm in Math 108 -
The Alliance Française de Missoula, the U. M, Departments of Mathematics, of Modern and Classical Languages and Literatures and the UM Office of International Programs as well as the Délégation Générale de l’Alliance Française-USA have the great pleasure to announce the visit and conference of
Professor Monica NeagoyThe Mathematics of Beauty and the Beauty of MathematicsMonday, April 19 – 19:00UM—Gallagher Business Building -123(Reception follows)

Monica Neagoy is a professor and an independent consultant for private and public schools, as well as for national and international organizations such as the International Commission on Mathematical Instruction (ICMI), the International Satellite Corporation (INTELSAT), the International Mathematical Olympiad (IMO) and the American Association for the Advancement of Science (AAAS). She has a cosmopolitan education received in Asia and in the US before receiving a BS in philosophy and a doctorate in mathematics. After teaching mathematics at Georgetown University, Monica Neagoy served at the National Science Foundation as Program Director for the Division of Elementary, Secondary, and Informal Education.
For the past 20 years, Monica Neagoy has been one of seven national judges for the prestigious MATHCOUNTS Foundation. She has also distinguished herself by designing, writing and producing short films and TV series for the TV stations Discovery Education and Annenberg CPB and for the online video libraries The Teaching Company and Media4Math.
Until 2004, she had a parallel career as co-manager, director and comedienne of NEON, the French-American theatre in Washington, DC, led by Didier Rousselet.
Her exposure to many cultures, her mastery of several languages, and her involvement in both the arts and sciences give her a unique perspective on the teaching of mathematics. Her lecture, ―The Mathematics of Beauty and the Beauty of Mathematics,‖combines her passion for mathematics and for art. She has frequently been invited to give this presentation, in the United States—from California to Georgia— as much as overseas. Her lecture has been received with enthusiasm for its seriousness and for the quality of its presentation and content.
The Lecture
The Mathematics of Beauty and the Beauty of Mathematics
Designed for all audiences
Whether subjective or objective, ephemeral or eternal, arousing the senses or charming the intellect, the definition of beauty has forever challenged artists and philosophers alike. This engaging and highly visual presentation invites you to ponder the meanings of beauty, examine the mathematics behind the beauty of things and enjoy aspects of mathematics that delight students, teachers, mathematicians, and all lovers of mathematics.
This lecture is designed in three parts:
- Part 1: A general discussion on ―beauty.‖ How artists, philosophers, and writers have tackled the problem of defining and expressing beauty.
- Part 2: An exploration of mathematics through the beauty of nature and human creations in our western culture. Monica Neagoy will attempt to explore the math hidden behind art such as sculpture, music and theatre, as well as the wonders of nature.
- Part 3: An exploration of what can be considered as ―beautiful‖ in mathematics. How can we explain reactions such as, ―That’s wonderful!‖, ―That’s marvelous‖ or ―That’s beautiful!‖ when talking about mathematics? Monica Neagoy will explain the passion that professors, students and math lovers have for the subject.
-
The Department of Mathematical Sciences is pleased to present a special Colloquium talk for Math Awareness Month
N.J. Lennes, Montana, and Mathematics in the U.S. 1892-1922David ZitarelliTemple University
The life and work of the mathematician N.J. Lennes is presented as a case study for developments that took place in mathematics in fin-de-siècle America. The year 1892 was chosen due to the founding of the University of Chicago, where Lennes obtained all of his degrees. Moreover, Chicago became the leading department in the U.S., so we introduce some of the students whom Lennes rubbed elbows with and the professors they studied under. We also describe his publications before and after receiving his Ph.D. to illustrate the types of mathematics being investigated and the journals available to researchers during the first part of the twentieth century. Because Lennes is mainly remembered today as the first person to state the general definition of a connected set, we discuss the early history of this concept, ending with its coming-out party in 1922.
Dr. Zitarelli’s article from Notices of the American Mathematical Society, "Connected Sets and the AMS, 1901–1921".
Monday, 19 April 2010
3:10 p.m. in Math 103
4:00 p.m. Refreshments in Math Lounge 109Sponsored by a gift from Dr. Frank Gilfeather '64.
-
Designing a coding scheme to classify technology use in the teaching and learning of mathematicsHilary RisserMontana Tech
The National Council of Teachers of Mathematics identifies technology as an integral part of mathematics teaching and learning. At the same time, there is a debate among mathematics teachers on how technology should be used in the classroom. Previous research has typically addressed the frequency of technology use in the mathematics classroom, but not the role of technology in particular mathematical tasks. Thus, a coding scheme was designed to classify how technology (e.g. graphing calculator, computer program) is utilized by students and teachers completing mathematical tasks. The coding scheme was developed using teacher descriptions of technology use in instruction. The coding scheme was then refined using data from several sources.
Monday, 5 April 2010
3:10 p.m. in Math 103
4:00 p.m. Refreshments in Math Lounge 109 -
Animating Everyday Calculus;Lyle CochranWhitworth University
This colloquium brings the fundamental ideas of calculus to life with high-quality, animated graphics. These interactive, user-friendly animations help students develop an intuitive, geometric understanding of important calculus principles while providing instructors with powerful new teaching tools. In this talk, animations that illustrate important ideas from both single-variable and multivariable calculus will be presented. We will also walk through an example of creating an animation with Mathematica 7 using the Manipulate command.
Monday, 22 March 2010
3:10 p.m. in Math 103
4:00 p.m. Refreshments in Math Lounge 109 -
Turn-Key OR not Turn-Key: That is the QuestionDr. Mark ParkerDept of Mathematics, Engineering, and Computer ScienceCarroll College
Over the last 10 years, the Department of Management and the Operations Research program at the US Air Force Academy (USAFA) have developed analysis tools to support a variety of administrative tasks for a number of different support areas. These tools include Xpress-MP optimization tools for final exam classroom scheduling for the Registrar; summer scientific seminar scheduling for the Admissions office; Air Force Specialty Code (AFSC) classification for the Air Force Personnel Center; Board Order-of-Merit (BOM) ranking, Military Performance Average (MPA) faculty-to-cadet assignment, cadet summer program scheduling, and Operational Air Force (OPSAF) base assignments for the Commandant of Cadets (Dean of Students equivalent in a civilian school); cadet-to-sponsor assignment for the Cadet Sponsor Office; and a multi-criteria decision model for capital equipment purchasing prioritization for the Dean of the Faculty. Although the initial goal was to develop stand alone, turn-key models that we could hand-off to the clients, our experience is that many of these models require the expertise of an OR analyst on a yearly basis. In this talk, I will discuss these models and the issues that lead to continued analyst involvement, as well as distinguish characteristics of those projects/models that can lead to successful turn-key operations by the client.
This is joint work with: Dr. Jim Lowe and Col Andrew Armacost, both of the United States Air Force Academy, CO.
Monday, 8 March 2010
3:10 p.m. in Math 103
4:00 p.m. Refreshments in Math Lounge 109 -
A Complete Computational Framework for Ill-Posed Poisson Maximum Likelihood EstimationJohn GoldesUniversity of Montana
A common problem in imaging science is to estimate some underlying true image given noisy measurements of image intensity. When image intensity is measured by the counting of incident photons emitted by the object of interest, the data-noise is accurately modeled by a Poisson distribution, which motivates the use of Poisson maximum likelihood estimation. When the underlying model equation is ill-posed, regularization must be employed. I will present a computational framework for solving such problems, including statistically motivated methods for choosing the regularization parameter. Numerical examples will be included.
Monday, 1 March 2010
3:10 p.m. in Math 103
4:00 p.m. Refreshments in Math Lounge 109; -
Chasing tail(s): statistical intuition in high-throughput studiesKen RiceDepartment of BiostatisticsUniversity of Washington
To overcome the inherent multiple-testing problem, many analyses of high-throughput data require extreme levels of significance, much further 'out in the tails' of standard reference distributions than usual. Other aspects of the analysis also require more care than usual. In the field of Genome-Wide Association Studies (GWAS) familiar practices have already been affected; for example the seminal Wellcome Trust GWAS showed the necessity of stringency in data-cleaning, and in control of confounding. These standards have been quickly adopted by the epidemiological community, but as GWAS moves forward, investigators are now beginning to attempt more subtle analyses, such as examining causal pathways, pleiotropy, and interactions. In this talk, we will discuss the challenges of getting appropriate regression tools to 'work' in a GWAS setting. For generic high-throughput settings, we also discuss the problem of interpreting multivariate regression results when attention is focused on only the most significant associations. For several problems, we show that 'rules of thumb' derived for traditional levels of significance can be unhelpful.
The speaker chairs the Analysis Committee of the Cohorts for Heart and Aging Research in Genetic Epidemiology (CHARGE) Consortium.
Monday, 22 February 2010
3:10 p.m. in Math 103
4:00 p.m. Refreshments in Math Lounge 109 -
Modeling Heterogeneous Bio-Switches: Review of Recent ResultsLeonid V. KalachevDepartment of Mathematical SciencesUniversity of Montana
In this presentation some new results on mathematical modeling of spatially dependent (heterogeneous) bio-switches are going to be addressed. These results were obtained over the past several years in collaboration with Professor Vasil'eva of Moscow State University.
Various biological systems that exhibit transitions between different possible stable steady states under influence of perturbations of different nature are usually modeled in terms of nonlinear differential equations with multiple equilibria. Ordinary differential equation models describe cases where fast mixing of species (biological, chemical, etc.) occurs so that spatial dependence of species population/concentration changing in time can be neglected. Such systems may be interpreted as homogeneous (spatially independent) bio-switches. In these systems, e.g., slow changes of a parameter value above or below certain threshold level may lead to a transition from one spatially uniform steady state to a new spatially uniform state. When spatial dependence in the models is important we arrive at, so-called, heterogeneous switches where the initiation of a transition from one stable equilibrium to another will depend on the type of boundary conditions imposed on a system (no flux conditions vs. fixed species population / concentration conditions, etc.), on the presence/absence of convection, as well as on other factors. In spatially 2-dimensional domains the initiation of transitions between stable steady states may depend on the shape of the domain. The basic ideas behind mathematical modeling of heterogeneous bio-switches (i.e., the discussion of why transitions between various steady states occur, how the transitions are initiated, how the tune-ups of switches can be done to change the transition threshold values and to make transitions asymmetric, the approaches to design of auto-oscillatory switches, etc.) as well as a number of examples of heterogeneous switches behavior in 2-dimensional spatial domains are going to be presented in this talk.
Monday, 8 February 2010
3:10 p.m. in Math 103
4:00 p.m. Refreshments in Math Lounge 109 -
Using Classroom Technology to Encourage Student Engagement in an Online Mathematics CourseJosef S. CrepeauThe University of MontanaDepartment of Applied Arts and Sciences
This presentation shows the use of a pen-enabled computer input device and a web-based content management system to help increase student engagement in an online mathematics course. Teaching a face to face mathematics course in parallel with its online counterpart will also be examined.
Monday, 1 February 2010
3:10 p.m. in Math 103
4:00 p.m. Refreshments in Math Lounge 109
Fall 2010
-
Teacher-researcher collaboration in mathematics teaching developmental researchSimon GoodchildUniversity of Agder, Norway
The presentation will be based on a productive collaboration with an elementary school teacher that has taken place over the last six years within the context of mathematics teaching developmental research projects. The projects have been led by a team of about ten didacticians at the university and included teachers from twelve schools (grades 1 through 13) and five kindergartens, all located in the southern tip of Norway. I will draw on publications that I have co-authored with the teacher, and other research reports that have used episodes from his classes. The presentation will begin with an introduction to the projects: their developmental and research goals, theoretical perspectives, and methodological principles. Through the presentation I aim to explore some of the constraints and opportunities of teacher-didactician collaboration in the light of ethical and practical considerations arising in the developmental research in which my colleagues and I have been engaged.
Monday, 13 December 2010
3:10 p.m. in Math 103
4:00 p.m. Refreshments in Math Lounge 109 -
Online Homework for MathDick LaneDepartment of Mathematical SciencesUniversity of Montana
Several web-based homework systems have been designed for mathematics. The best systems emphasize algorithmic problems with free response answers (numerical or mathematical expression), provide immediate feedback about correctness, and allow a student to fix errors while the study of the problem is fresh — continuing until all parts of a problem are correct.
I will describe a few systems (with emphasis on the two I have used most recently, Webwork & WileyPLUS), types of questions, and styles of use.
Monday, 15 November 2010
3:10 p.m. in Math 103
4:00 p.m. Refreshments in Math Lounge 109 -
Spectral preservers in Commutative Banach AlgebrasThomas TonevDepartment of Mathematical SciencesUniversity of Montana
A spectral preserver is a map between Banach algebras such that some properties or objects connected with the spectra of algebra elements are invariant under its action. Though such maps have been studied extensively in the operator algebra setting, only during the last decade have they been systematically analyzed in commutative Banach algebras.
This talk is a survey of recent investigations on spectral preserver problems in commutative Banach algebras, including some history, basic results, future directions and open problems.
Monday, 8 November 2010
3:10 p.m. in Math 103
4:00 p.m. Refreshments in Math Lounge 109 -
Proof TrajectoriesNick HaverhalsPhD Candidate, Dept of Mathematical Sciences
One of the goals of any undergraduate mathematics program is for students to become competent in constructing mathematical proofs. Unfortunately, despite the importance of proof training in mathematics education, many students have difficulty with it (Dreyfus, 1999; Harel & Sowder, 2003; Selden & Selden, 2003). Weber (2004) states that "there is widespread agreement that students have serious difficulties with constructing proofs" (p. 1). In this presentation, I will provide some examples of proof research in mathematics education and describe the frameworks I used when analyzing the data from my dissertation research. These frameworks were used to classify the types of proofs students in my study created, which refers to ways in which a participants work towards a proof, and students' proof schemes which consist of what "constitutes ascertaining and persuading for that person" (Harel & Sowder, 1998). I will also include some examples of data from my study, which was designed to answer the following question: What, if any, identifiable paths do students go through while learning to prove?
Monday, 1 November 2010
3:10 p.m. in Math 103
4:00 p.m. Refreshments in Math Lounge 109 -
Reflective mathematical activities with pre-service teachers- Some preliminary resultsMatt RoscoePhD Candidate, Dept of Mathematical Sciences
Mathematics Education researchers have long recognized the importance of beliefs in educational settings (i.e. Collier, 1972; Schoenfeld, 1985; Ball, 1999; Torner, 2003). Given the important role that beliefs play in the transmission of mathematical knowledge, many researchers have chosen to focus on the beliefs of elementary school teachers. Of particular interest are those mathematical beliefs termed formalist which characterize the subject as "an accumulation of facts, rules and skills to be used in the pursuance of some external end." (Ernest, 1989, p.2) In this prelude to my dissertation presentation, I will provide an overview of both theoretical and empirical research on the mathematical beliefs of school teachers and describe the framework for my dissertation study which investigates the following research question: How do the formal beliefs of pre-service elementary school teachers respond to informal mathematics activities?
Monday, 25 October 2010
3:10 p.m. in Math 103
4:00 p.m. Refreshments in Math Lounge 109 -
Two matroids on graphs: How do they compare?Nancy Ann NeudauerPacific University
In 1933, three Harvard junior-fellows tied together some recurring themes in mathematics, into what Gian Carlo Rota called one of the most important ideas of our day. They were finding independence everywhere they looked. Do you? We find that matroids are everywhere: Vector spaces are matroids; We can define matroids on a graph. Matroids are useful in situations that are modelled by both graphs and matrices. Bicircular matroids model generalized network flow problems whose algorithms are more efficient than those available for general linear programming codes.
Two matroids are commonly defined on a graph: the familiar cycle matroid and the more rarely-encountered bicircular matroid. In the cycle matroid, a set of edges is independent in the matroid if it contains no cycles in the graph, and the circuits of the matroid are the single cycles of the graph. In the bicircular matroid, two cycles in the graph form a circuit of the matroid. More specifically, the circuits are the subgraphs which are subdivisions of one of the following graphs: (i) two loops on the same vertex, (ii) two loops joined by an edge, (iii) three edges joining the same pair of vertices.
What questions can we ask about matroids and what might we count? We will discuss some recent results for bicircular matroids.
Monday, 4 October 2010
3:10 p.m. in Math 103
4:00 p.m. Refreshments in Math Lounge 109 -
Character Estimates and Random Walks on SU(n)Corey ManackThe University of Montana Western
We say a compact Lie group G is simple if it is connected, has finite center and is a simple group modulo its center. We study the relationship between character estimates and the structure of conjugacy classes within G. Suppose G is simple and centerless; the first result shows, for n sufficiently large, the set of n-fold products from a nontrivial conjugacy class contains the identity as an interior point. This n can be chosen uniformly over the set of nontrivial conjugacy classes of G. We use this result to prove a uniform estimate on the set of normalized character values of G. In an opposite direction, we prove a different type of character estimate, which is used to bound the rate of convergence to Haar measure, for certain conjugation-invariant random walks on SU(n). This convergence is with respect to the total variation distance of Diaconis and Shashahani.
Monday, 27 September 2010
3:10 p.m. in Math 103
4:00 p.m. Refreshments in Math Lounge 109 -
Similarity in Greek Geometry: A Historico-Educational AccountMichael N. FriedBen Gurion University of the Negev
In this talk, I will raise some difficulties that arise in the attempt to incorporate history of mathematics in mathematics education. These difficulties are not merely practical, but involve the basic commitments demanded of mathematics educators on the one hand and of historians of mathematics on the other. The commitments of the former involve, among other things, making sure that whatever gets into the classroom is relevant to present mathematical concerns and present applications of mathematics, while those of the latter involve seeing the mathematics of the present in contradistinction to the mathematics of the past. To illustrate this point, I will focus on the case of similarity in Greek mathematics. The example was chosen because of the centrality of similarity in every geometry curriculum and because of the expectation that the concept, if anything, should be uncontroversial and unchanged over the centuries.
Monday, 13 September 2010
3:10 p.m. in Math 103
4:00 p.m. Refreshments in Math Lounge 109 -
How to solve applied inverse problemsA.G. YagolaMoscow State University–Russia
This review talk will address the following topics: numerical methods for solving ill-posed problems with different constraints; ill-posed problems on compact sets of a special structure; methods for minimization of Tikhonov’s functional and the discrepancy; choice of the regularization parameter; error estimation for ill-posed problems with a priori information. Applications to inverse problems of image processing, electronic microscopy, and acoustics will be discussed. The presented research was supported by RFBR grant 10-01-91150- NFSC.
Wednesday, 1 September 2010
3:10 p.m. in Math 211
4:00 p.m. Refreshments in Math Lounge 109