Frontiers in Tracer Interpretation
How much can we know about a groundwater transport system? What can we predict? How do we accurately calculate uncertainty in our predictions? We are developing theoretical and numerical methods to help scientists best utilize environmental tracer concentrations to reduce predictive uncertainty in long-term reactive transport problems. Funding DOE-NEUP.
Sampling CFCs and SF6 in the Little Wind River alluvial aquifer.
Modeling CFC11 concentration in 3d heterogeneous aquifer. We’re using HPC reactive transport codes to simulate tracer concentrations, and use them as calibration target.
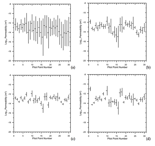
We are investigating how to best use tracer data, and the effect of including tracer data in parameter estimation and uncertainty. Here inversions which include tracer data reduce estimates of permeability by orders of magnitude.